{dede:field.title/}
电源滤波器分类介绍ody/}
<

电源滤波器
电源滤波器是由电容、电感和电阻组成的滤波电路,又名"电源EMI滤波器",或是"EMI电源滤波器",一种无源双向网络,它的一端是电源,另一端是负载。电源滤波器的原理就是一种--阻抗适配网络:电源滤波器输入、输出侧与电源和负载侧的阻抗适配越大,对电磁干扰的衰减就越有效。滤波器可以对电源线中特定频率的频点或该频点以外的频率进行有效滤除,得到一个特定频率的电源信号,或消除一个特定频率后的电源信号。
基本信息
分类介绍
1、按所处理的信号:分为模拟滤波器和数字滤波器两种。
2、按所通过信号的频段:分为低通滤波器、高通滤波器、带通滤波器和带阻滤波器四种。
3、按所采用的元器件:分为无源滤波器和有源滤波器两种。
4、根据滤波器的安放位置:安放位置不同,一般分为板上滤波器和面板滤波器。
基本简介
电源滤波器就是对电源线中特定频率的频点或该频点以外的频率进行有效滤除的电器设备。电源滤波器的功能就是通过在电源线中接入电源滤波器,得到一个特定频率的电源信号,或消除一个特定频率后的电源信号。利用电源滤波器的这个特性,可以将通过电源滤波器后的一个方波群或复合噪波,变成一个特定频率的正弦波。大功率电源的滤波器如Satons、UBS、变频器等将会产生大量谐波电流,这类滤波器需采用有源电力滤波器APF。APF可对2~50次谐波电流进行滤除。
漏电流:泄漏电流是指在250VAC的电压下,相线和中线与滤波器外壳(地线)间流过的电流。它主要取决于接地电容(共模电容)的取值。较大的共模电容CY可以提高插入损耗,但却造成较大的漏电电流。
耐压:为确保电源滤波器的性能以及设备和人身安全,必须进行耐压测试。耐压测试是在极端工作条件下的测试。若CX电容器的耐压性能欠佳,在出现峰值浪涌电压时,可能被击穿。它的击穿虽然不危及人身安全,但会使滤波器功能丧失或性能下降。CY电容器除了满足接地漏电流的要求外,还在电气和机械性能方面具有足够的安全余量,避免在极端恶劣的环境条件下出现击穿短路现象。故线一地之间的耐压性能对保护人身安全有重要意义,一旦设备或装置的绝缘保护措施失效,可能导致人员伤亡。
性能评定:EMI电源滤波器在使用时考虑最多的是额定电压及电流值、耐压性能、漏电流三项,而其中最主要的评定性能为滤波器的插入损耗性能。
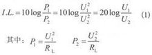
EMI电源滤波器对干扰噪声的抑制能力用插入损耗I.L.(Insertion Loss)来衡量。插入损耗定义为:没有滤波器接入时,从噪声源传输到负载的功率P1和接入滤波器后,从噪声源传输到负载的功率P2之比,用dB(分贝)表示。

频域测试1.插入损耗的标准测试:在标准测量法中规定,在50Ω~75Ω之间的任一阻值的系统内测试它的插入损耗特性。
2 .插入损耗的加载测试:在EMI滤波器产品中,由于使用不合适的材料,共模扼流圈不可能保证完全对称会导致磁环的饱和,同时寄生差模电感也可能产生磁环的饱和,使得滤波器的实际使用情况与厂家提供数据有很大差距,因此必须对滤波器采用加载测试。
3 .EMI滤波器的时域测试:一般地,对于EMI电源滤波器我们只关心它的常规性能及频域抑制性能。而对于EMI信号线滤波器,由于传输线本身就会产生一定的电磁干扰,所以测试信号必然会产生一定的衰减。这时,我们就要对其进行时域传输性能上的测试。使用50kHz的方波对电容值为8000pF的滤波插针进行滤波,发现其时域的上升沿和下降沿有明显的变化。频域上,经过滤波后,方波信号的高频分量被滤除。对于通过同一滤波插针,方波的频率越高,其谐波信号被滤波插针衰减的将会越大,则方波的波形上升及下降时间将会越长。同样,对于同样的频率波形,通过滤波插针,其滤波容值越大,方波上升时间趋缓的程度越大。
安装
1、电源滤波器的不能存在电磁耦合路径
①电源输入线过长;
②电源滤波器的输入线和输出线靠的过近。
此两种都是不正确的安装方式,问题的本质在于,滤波器的输入端电线和它的输出端电线之间存在有明显的电磁耦合路径。这样一来,存在于滤波器某一端的EMI信号会逃脱滤波器对它的抑制,不经过滤波器的衰减而直接耦合到滤波器的另一端去。因此滤波器输入与输出先需有效分开。
另外,如上述两种把电源滤波器都是安装在设备屏蔽的内部,设备内部电路及元件上的EMI 信号会因辐射在滤波器的(电源)端引线上生成EMI 信号而直接耦合到设备外面去,使设备屏蔽丧失对内部元件和电路产生的EMI 辐射的抑制。当然,如果滤波器(电源)上存在有EMI 信号,也会因辐射而耦合到设备内部的元件和电路上,从而破坏滤波器和屏蔽对EMI 信号的抑制作用。
2、不能将线缆捆扎在一块
一般来说,在电子设备或系统内安装电源滤波器时要注意的是,在捆扎设备电缆时,千万不能把滤波器(电源)端和(负载)端的电线捆扎在一起,因为这无疑加剧了滤波器输入输出端之间的电磁耦合,严重破坏了滤波器和设备屏蔽对EMI 信号的抑制能力。
3、要尽量避免使用长接地线
电源滤波器输出端连接变频器或电机的接线长度不超过30厘米为宜。因为过长的接地线意味着大大增加接地电感和电阻,它会严重破坏滤波器的共模抑制能力。较好方法是,用金属螺钉与星形弹簧垫圈把滤波器的屏蔽牢牢地固定在设备电源入口处的机壳上。
4、电源滤波器输入线、输出线必须拉开距离
电源滤波器输入线、输出线必须拉开距离,切忌并行,以免降低滤波器效能。
5、电源滤波器外壳与机箱壳必须良好接触
变频器专用滤波器金属壳与机箱壳必须保证良好面接触,并将接地线接好。
6、电源滤波器的连接线宜选用双绞线
电源滤波器的输入、输出连接线以选用屏蔽双绞线为佳,它可有效消除部分高频干扰信号。
目的
电源滤波器的目的是在抑制电磁噪声,噪声的影响可分为以下二种:
发射(Emissions):是要将由设备产生,影响电源或其他设备的噪声降到法规(例如FCC part 15)允许值以下,例如由开关电源产生的噪声。
抗扰(Immunity):是要将进入设备的噪声降低到不会使设备出现异常动作的程度,例如用在广播电台发射设备中的仪器。
电源滤波器要抑制的噪声可分为以下的二种:
共模:在二条(或多条)电源线都相同的噪声,可视为电源线对地的噪声。
差模:电源线和电源线之间的噪声。
同一个电源滤波器对于共模噪声及差模噪声的抑制能力会有所不同,一般会用频率对应抑制量(以分贝表示)的频谱来说明。
结构
电源滤波器一般都设计为只由电阻、电容及电感组成的被动滤波器,没有像晶体管之类的主动元件。右图是一个电源滤波器的例子,电源滤波器的上方接电源,电源端有一个共模电感,也就是电源的二条线依同一个方向绕在铁心上,电源线上若有共模讯号,其在共模电感产生的磁场会相加,因此有较大的阻抗,而差模讯号在共模电感产生的磁场会互相抵消,因此可以流过共模电感。电源流过的电流主要是差模的,但上面也可能会噪声以差模的形式出现,若要抑制差模噪声,需要另外使用差模电感,或是各相有个别的电感器。
在电源滤波器上会使用特别的安规解耦电容,分为X电容及Y电容二类:
X电容:抑制差模干扰(电源线之间的干扰)。
Y电容:抑制共模干扰(各组电源线对地之间的干扰)。
由于Y电容提高会使电器的漏电流增加,而电器的漏电流有其规定范围,因此Y电容不能太大,一般都会比X电容要小。
X电容和Y电容属于安规电容,即其失效后不会造成电击,也不会影响人身安全。二者都有自我复原(self-healing)作用,会使局部短路的部份恢复原来的绝缘状态。
常见错误
在实验测试过程中,我们常遇到这样的情况:虽然设计工程师在设备电源线上接了电源滤波器,但是该设备还是不能通过"传导骚扰电压发射"测试,工程师怀疑滤波器的滤波效果不好,不断更换滤波器,仍不能得到理想的效果。
分析设备超标的原因,不外乎以下两个方面:
1)设备产生的骚扰太强;
2)设备的滤波不足。
对于第一种情况,我们可以通过在骚扰源处采取措施,降低骚扰的强度,或者增加电源滤波器的阶数,提高滤波器对骚扰的抑制能力来解决。对于第二种情况,除了滤波器自身性能不好以外,滤波器的安装方式对它的性能影响很大。这一点往往是被设计工程师忽视的。在很多测试中,我们通过更改滤波器的安装方式就能使设备顺利通过测试。下面是一些常见的滤波器错误安装方式对滤波器性能影响的实例。
输入线太长:许多设备的电源线进入机箱后,经过很长的导线才接到滤波器的输入端。例如,电源线从机箱后面板输入,走行到前面板的电源开关,又回到后面板接到滤波器。或者滤波器的安装位置距离电源线入口较远,造成引线太长。如图1所示。
电源线过长示意图
图1 电源线过长示意图
由于电源入口到滤波器输入端的引线过长,设备产生的电磁骚扰通过电容性或电感性耦合,重新耦合到电源线上,而且骚扰信号的频率越高,耦合越强,造成实验失败。
平行走线:有的工程师为了使机箱内部的走线美观,常常把线缆捆扎在一起,这对电源线是不允许的。如果把电源滤波器的输入输出线平行走线或捆扎在一起,由于平行传输线之间存在分布电容,这种走线方式相当于在滤波器的输入输出线之间并接了一个电容,为骚扰信号提供了一条绕过滤波器的路径,导致滤波器的性能大幅下降,频率很高时甚至失效(如图2所示)。等效电容的大小与导线距离成反比,与平行走线的长度成正比。等效电容越大,对滤波器性能的影响越大。
平行走线对滤波器的影响
图2 平行走线对滤波器的影响
接地和壳体:这种情况也比较普遍。许多工程师安装滤波器时,滤波器的壳体和机箱之间搭接不良(有绝缘漆);同时,使用的接地线较长,这将导致滤波器的高频特性变坏,降低滤波性能。由于接地线较长,在高频时导线的分布电感不能忽视,如果滤波器搭接良好,干扰信号可以通过壳体直接接地。如果滤波器的壳体和机箱之间搭接不良,相当于滤波器的壳体(地)与机箱之间存在一个分布电容,这将导致滤波器高频时接地阻抗较大,尤其在分布电感和分布电容谐振的频率附近,接地阻抗趋于无穷。滤波器接地不良对滤波器性能的影响如图3所示。从图3中可以看到,由于滤波器接地不良,接地阻抗较大,有一部分骚扰信号能通过滤波器。为了解决搭接不良,应把机箱上的绝缘漆刮掉,保证滤波器壳体和机箱有良好的电气连接。在这种安装方式下,滤波器的壳体和机壳接触良好,堵住电源线在机箱上的开口,提高了机箱的屏蔽性能;另外,滤波器的输入输出线之间有机箱屏蔽相隔离,消除了输入输出线之间的骚扰耦合,保证滤波器的滤波性能。
滤波器接地不良对滤波器性能的影响
图3 滤波器接地不良对滤波器性能的影响
滤波器的安装方式直接影响了滤波器的滤波效果,为了充分发挥滤波器的性能,在安装滤波器时应遵循以下原则:
图4 电源滤波器安装示例
1)在电源入口处就近安装,最好用滤波器壳体盖住机箱上的电源线入口孔,如图4所示;2)接地线越短越好;3)滤波器壳体与机箱良好搭接;4)滤波器输入输出线分开,不能并行或交叉;5)避免滤波器附近有强干扰源。
滤波器分类介绍
1、按所处理的信号:分为模拟滤波器和数字滤波器两种。
2、按所通过信号的频段:分为低通滤波器、高通滤波器、带通滤波器和带阻滤波器四种。
低通滤波器:它允许信号中的低频或直流分量通过,抑制高频分量或干扰和噪声。
高通滤波器:它允许信号中的高频或交流分量通过,抑制低频或直流分量。
带通滤波器:它允许一定频段的信号通过,抑制低于或高于该频段的信号、干扰和噪声。
带阻滤波器:它抑制一定频段内的信号,允许该频段以外的信号通过。
3、按所采用的元器件:分为无源滤波器和有源滤波器两种。
3.1、无源滤波器: 仅由无源元件(R、L 和C)组成的滤波器,它是利用电容和电感元件的电抗随频率的变化而变化的原理构成的。这类滤波器的优点是:电路比较简单,不需要直流电源供电,可靠性高;缺点是:通带内的信号有能量损耗,负载效应比较明显,使用电感元件时容易引起电磁感应,当电感L较大时滤波器的体积和重量都比较大,在低频域不适用。
3.2、有源滤波器:由无源元件(一般用R和C)和有源器件(如集成运算放大器)组成。这类滤波器的优点是:通带内的信号不仅没有能量损耗,而且还可以放大,负载效应不明显,多级相联时相互影响很小,利用级联的简单方法很容易构成高阶滤波器,并且滤波器的体积小、重量轻、不需要磁屏蔽(由于不使用电感元件);缺点是:通带范围受有源器件(如集成运算放大器)的带宽限制,需要直流电源供电,可靠性不如无源滤波器高,在高压、高频、大功率的场合不适用。
4、根据滤波器的安放位置:安放位置不同,一般分为板上滤波器和面板滤波器。
4.1、板上滤波器安装在线路板上,如PLB、JLB系列滤波器。这种滤波器的优点是经济,缺点是高频滤波效果欠佳。其主要原因是:
4.1.1、滤波器的输入与输出之间没有隔离,容易发生耦合;
4.1.2、滤波器的接地阻抗不是很低,削弱了高频旁路效果;
4.1.3、滤波器与机箱之间的一段连线会产生两种不良作用: 一个是机箱内部空间的电磁干扰会直接感应到这段线上,沿着电缆传出机箱,借助电缆辐射,使滤波器失效;另一个是外界干扰在被板上滤波器滤波之前,借助这段线产生辐射,或直接与线路板上的电路发生耦合,造成敏感度问题;
4.2、滤波阵列板、滤波连接器等面板滤波器一般都直接安装在屏蔽机箱的金属面板上。由于直接安装在金属面板上,滤波器的输入与输出之间完全隔离,接地良好,电缆上的干扰在机箱端口上被滤除,因此滤波效果相当理想。缺点是必须在设计初期考虑安装所需的配合结构。
| 变频器滤波器配置一览表 |
| 变频器标准适配电机容量(KW) | 380V输入滤波器 | 380V输出滤波器 | 690V输入滤波器 | 690V输出滤波器 | 1140V输入滤波器 | 1140V输出滤波器 |
| 0.75-1.5 | NF312C5 | NF312B5 | NF312C5H | NF312B5H | NF312C5HV | NF312B5HV |
| 2.2 | NF312C10 | NF312B10 |
| 4 |
| 5.5 | NF312C20 | NF312B20 | NF312C10H | NF312C10H |
| 7.5 | NF312C10HV | NF312B10HV |
| 11 | NF312C36 | NF312B36 | NF312C20H | NF312C20H |
| 15 | NF312C20HV | NF312B20HV |
| 18.5-22 | NF312C50 | NF312B50 | NF312C36H | NF312C36H |
| 30 | NF312C65 | NF312B65 | NF312C50H | NF312B50H | NF312C36HV | NF312B36HV |
| 37 | NF312C80 | NF312B80 |
| 45 | NF312C100 | NF312B100 | NF312C50HV | NF312B50HV |
| 55 | NF312C150 | NF312B150 | NF312C80H | NF312B80H |
| 75 | NF312C80HV | NF312B80HV |
| 90 | NF312C200 | NF312B200 | NF312C100H | NF312B100H | NF312C100HV | NF312B100HV |
| 110 | NF312C250 | NF312B250 | NF312C150H | NF312B150H |
| 132 | NF312C300 | NF312B300 | NF312C200H | NF312B200H |
| 160 | NF312C400 | NF312B400 | NF312C250H | NF312B250H | NF312C150HV | NF312B150HV |
| 200 | NF312C200HV | NF312B200HV |
| 250 | NF312C600 | NF312B600 | NF312C300H | NF312B300H | NF312C250HV | NF312B250HV |
| 315 | NF312C600 | NF312B600 | NF312C400H | NF312B400H | NF312C300HV | NF312B300HV |
| 400 | NF312C900 | NF312B900 | NF312C600H | NF312B600H | NF312C400HV | NF312B400HV |
| 630 | NF312C1200 | NF312B1200 | NF312C900H | NF312B900H | NF312C600HV | NF312B600HV |
| 710 | NF312C1600 | NF312B1600 | NF312C900H | NF312B900H | NF312C600HV | NF312B600HV |
上海瓦蓝电子科技有限公司WL
http://www.tileblue.com
0086-(21)57899261
_key">
访问量:
{dede:include filename="footer.htm"/}